Запуски в инфомаркетинге 2.0

0/5 ·
Создан: 20 декабря 2019 г. Обновлён: 23 марта 2026 г.

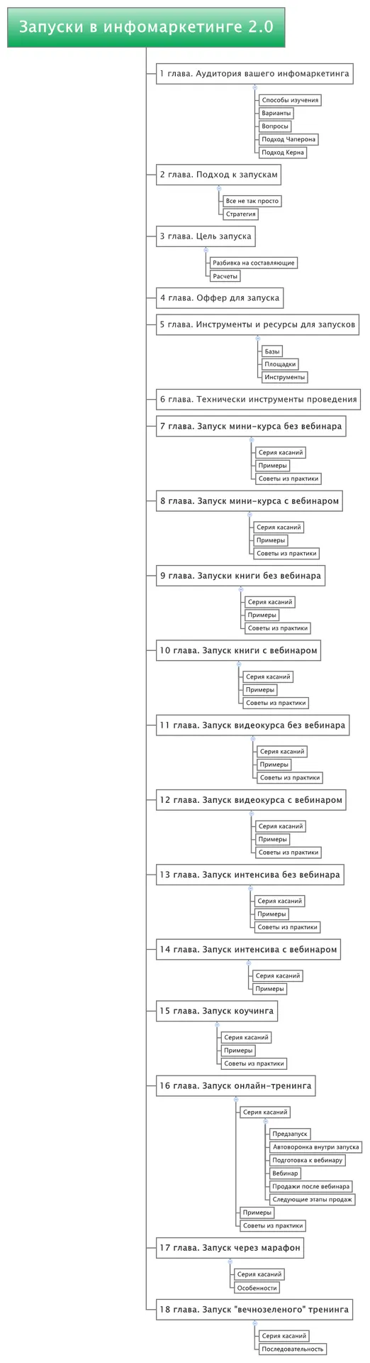
Большинство онлайн-проектов теряют прибыль из-за хаотичных продаж, превращая запуск продукта в набор случайных действий. Здесь разбирается системный подход к проведению запусков, который позволяет превратить создание книги, видеокурса или тренинга в предсказуемый бизнес-процесс с шестизначными результатами.

В материалах собраны конкретные механики для разных форматов продуктов: от недорогих мини-курсов до коучинговых программ. Основной акцент сделан на интеграции инструментов — как правильно связать email-маркетинг, социальные сети и рекламные каналы в одну конвертирующую цепочку. Вы узнаете, как определять офферы, попадающие в потребности аудитории, и эффективно использовать вебинары для продаж.

Материал ориентирован на владельцев онлайн-школ и экспертов, которые хотят наладить стабильную систему монетизации своих знаний, перейдя от случайных продаж к повторяемым результатам.

Другие материалы автора

Лучшие сервисы и программы для инфобизнеса 3.0 Можно купить
80 ₽

Лучшие сервисы и программы для инфобизнеса 3.0

Дмитрий Зверев
Мини-реалити с созданием бесплатного продукта в режиме реального времени Можно купить
96 ₽

Мини-реалити с созданием бесплатного продукта в режиме реального времени

Дмитрий Зверев
Тренинг по созданию электронных книг и PDF 2.0 Можно купить
598 ₽

Тренинг по созданию электронных книг и PDF 2.0

Дмитрий Зверев
Тренинг по созданию клуба в онлайн-проекте Можно купить
830 ₽

Тренинг по созданию клуба в онлайн-проекте

Дмитрий Зверев
Мини-реалити по созданию pdf-отчета с помощью Telegram-бота GPT Можно купить
80 ₽

Мини-реалити по созданию pdf-отчета с помощью Telegram-бота GPT

Дмитрий Зверев
Создание электронных книг в онлайн-проектах Можно купить
124 ₽

Создание электронных книг в онлайн-проектах

Дмитрий Зверев
Система контента в онлайн-проекте Можно купить
108 ₽ 670 ₽ −84%

Система контента в онлайн-проекте

Дмитрий Зверев
0 · 0 отзывов

Отзывов пока нет. Будьте первым!

Ещё интересные курсы

Инфокопирайтинг - продажи текстом в онлайне Можно купить
98 ₽

Инфокопирайтинг - продажи текстом в онлайне

Дмитрий Зверев
E
Можно купить
492 ₽ 4 500 ₽ −89%

Email шаблоны для интернет-магазинов

Themeforest
Прибыльные онлайн-интенсивы Можно купить
108 ₽

Прибыльные онлайн-интенсивы

Курилов
Extreme Landing 2017 Можно купить
122 ₽

Extreme Landing 2017

Закрытый клуб инфобизнесмена. Четвертый месяц Можно купить
114 ₽

Закрытый клуб инфобизнесмена. Четвертый месяц

Юрий Курилов
Психологические триггеры копирайтинга Можно купить
184 ₽

Психологические триггеры копирайтинга

Мария Солодар
Держи пульс! Удаленная работа на сервисе Пульс от Mail.ru Можно купить
204 ₽

Держи пульс! Удаленная работа на сервисе Пульс от Mail.ru

Наталья Ковина