1С Менеджер потоков

0/5 ·
Создан: 22 июня 2017 г. Обновлён: 23 марта 2026 г.

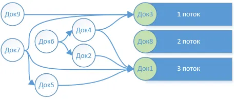
Медленные алгоритмы в 1С, такие как восстановление партий или массовое формирование отчетов, часто упираются в однопоточную архитектуру платформы. Данный инструмент берет на себя всю техническую рутину многопоточности: от управления жизненным циклом потоков до организации последовательности их работы.

Внутри разбирается, как делегировать тяжелые вычислительные задачи на фоновые процессы, не погружаясь в сложности запуска, остановки и обмена данными между потоками. Это решение для программистов 1С, которым нужно ускорить выполнение длительных операций без переписывания архитектуры конфигурации.

Автор
Инструменты
0 · 0 отзывов

Отзывов пока нет. Будьте первым!

Ещё интересные курсы

1С: Программист — Быстрый старт в профессию Можно купить
140 ₽ 2 100 ₽ −93%
5.0

1С: Программист — Быстрый старт в профессию

Курсы-по-1С
1С: Работа с файлами Pro Можно купить
108 ₽ 1 880 ₽ −94%
3.7

1С: Работа с файлами Pro

Конвертация данных 3.0 Можно купить
150 ₽ 7 800 ₽ −98%
5.0

Конвертация данных 3.0

К
Можно купить
184 ₽ 3 443 ₽ −95%

Конструктор Telegram-ботов для 1С

К
Можно купить
146 ₽ 800 ₽ −82%

Комплект подготовки к экзамену 1С:Профессионал Управление Торговлей 11.3

И
Можно купить
144 ₽ 2 400 ₽ −94%

Инструментарий для программиста 1С. Часть 4

infostart
М
Можно купить
238 ₽ 1 000 ₽ −76%

Мастер этического взлома с Python

Udemy
Управляемая консоль запросов и отчетов 3.7.6 Можно купить
80 ₽ 500 ₽ −84%
5.0

Управляемая консоль запросов и отчетов 3.7.6

infostart
1
Можно купить
138 ₽ 6 500 ₽ −98%

1С: Предприятие. Запросы и отчеты

М
Можно купить
144 ₽ 1 330 ₽ −89%

Межцеховое планирование производства в 1C:ERP. Концепции и настройки

infostart.ru
Набор эмуляторов торгового оборудования для 1С Можно купить
354 ₽ 1 800 ₽ −80%

Набор эмуляторов торгового оборудования для 1С

infostart